셀 펜더용 웨이트 체인 설계
현재 위치: 홈페이지 » 소식 » 셀 펜더용 웨이트 체인 설계

셀 펜더용 웨이트 체인 설계

번호 검색 :0     저자 :사이트 편집기     게시: 2022-06-01      원산지 :강화 된

귀하의 메시지

facebook sharing button
twitter sharing button
line sharing button
wechat sharing button
linkedin sharing button
pinterest sharing button
whatsapp sharing button
sharethis sharing button

용 웨이트 체인 설계 셀 펜더

초록: 본 논문에서는 셀 펜더의 웨이트 체인 설계 절차에 대해 설명한다.웨이트 체인의 선택 및 레이아웃, 웨이트 체인의 장력 계산 방법 등

키워드: 고무 펜더 , 전면 프레임 , 웨이트 체인, 고무 플렉스 체인, 웨이트 체인의 장력


셀 형 고무 펜더 시스템은 주로 셀 형 고무 펜더 본체와 충격 방지 플레이트로 구성됩니다.임팩트 플레이트는 고무 펜더의 프론트 엔드에 장착되어 선박의 충격을 견디고 고무 펜더와 선박 사이의 접촉 면적을 증가시켜 선박에 대한 고무 펜더의 표면 압력을 줄이는 데 사용되는 강철 구조 액세서리 .정상적인 조건에서 셀 고무 흙받이 자체가 충격판의 무게를 지탱할 수 있습니다.다만, 충격방지판의 중량이 표 1에 규정된 허용정적하중을 초과하거나 고무방석 사양이 2000H를 초과하는 경우에는 다음과 같이 고무방재 시스템의 정상적인 작동을 보장하기 위해 중력체인을 설치하여야 한다. 그림 나.

그림 I

웨이트 체인의 레이아웃

웨이트 체인은 일반적으로 충격판의 중력하에 셀 형 고무 구조망 실린더에 배치되고 고무 구조망의 한쪽 끝은 양쪽에 있고 체인의 한쪽 끝은 충격판에 고정되고 다른 쪽 끝은 충격판에 고정됩니다. 그림 I에서와 같이 해안 벽

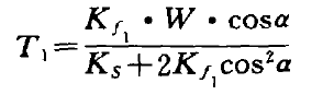
웨이트 체인 장력 계산

T=T1+T2

세트

W: 임팩트 플레이트의 무게

Ks: 흙받이의 전단탄성계수

Kf: 고무 스프링 체인의 탄성 계수

α : 고무 스프링 체인과 Z축 사이의 각도

β : 고무스프링 체인과 X축이 이루는 각도



뉴스레터 구독

신제품 및 향후 판매에 대한 최신 업데이트를 받으십시오.
중국 해양 고무(칭다오) 산업 Co., Ltd(CMR)는 중국의 해양 고무 펜더 및 엔지니어링 고무 제품의 전문 제조 업체입니다.

빠른 링크

제품

문의하기

 : +86-18766396886
 : +86-13953283589
 : Jiaobei Industrial Zone, Jiaozhou, Qingdao, China
Copyright © 2022 중국해양고무(칭다오)공업유한회사 사이트맵 |鲁ICP备2022012721号 | 기술Leadong.com의